-
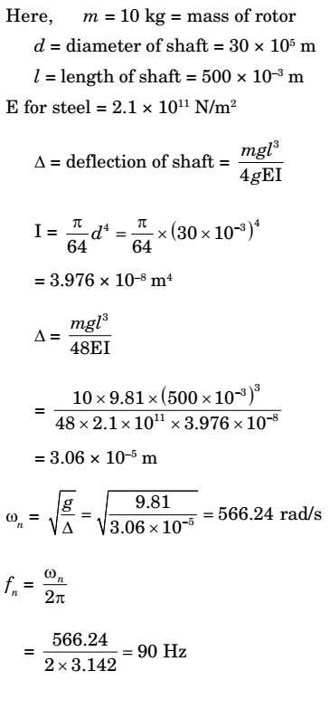
A flexible rotor-shaft system comprises of a 10 kg rotor disc placed in the middle of a massless shaft of diameter 30 mm and length 500 mm between bearings (shaft is being taken massiess as the equivalent mass of the shaft is included in the rotor mass) mounted at the ends. The bearings are assumed to simulate simply supported boundary conditions. The shaft is made of steel for which the value of E is 2.1 × 1011 Pa. What is the critical speed of rotation of the shaft?
-
- 60 Hz
- 90 Hz
- 135 Hz
- 180 Hz
Correct Option: B
