Home » Theory of Machines » Theory of Machines Miscellaneous » Question

Theory of Machines Miscellaneous

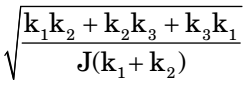
  1. Consider the arrangement shown in the figure below where J is the combined polar mass moment of inertia of the disc and the shafts. k1 k2, k3 are the torsional stiffness of the respective shafts. The natural frequency of torsional oscillation of the disc is given by
Correct Option: B



Your comments will be displayed only after manual approval.