Routes and Networks
Direction: There are 5 cities A, B, C, D and E connected by 7 roads as shown in the figure below :
Design a route such that you start from any city of your choice and walk on each of the 7 roads once and only once, not necessarily returning to the city from which you started.

- For a route that satisfies the above restrictions, which of the following statements is true?
-
View Hint View Answer Discuss in Forum
According to question ,
Here ,we will eliminate the options one by one. Option (A) cannot be true as there are many routes that satisfy the given condition. Option (C) is also not true as we can have a route starting from D (e.g. DEBDCBAC).Correct Option: B
According to question ,
Here ,we will eliminate the options one by one. Option (A) cannot be true as there are many routes that satisfy the given condition. Option (C) is also not true as we can have a route starting from D (e.g. DEBDCBAC).
The route need not necessarily end at E, which is apparent. Option B satisfies all the conditions.
Hence , A route can either start at C or end at C, but not both.
- How many different starting cities are possible such that the above restriction is satisfied?
-
View Hint View Answer Discuss in Forum
On the basis of above given figure , we can see that
City A is connected by 2 roads, B by 4 roads, C by 3 roads, D by 3 roads and E by 2 roads.
For a city to be starting city for such a route, it has to be connected by odd number of roads.Correct Option: D
On the basis of above given figure , we can see that
City A is connected by 2 roads, B by 4 roads, C by 3 roads, D by 3 roads and E by 2 roads.
For a city to be starting city for such a route, it has to be connected by odd number of roads.
Hence the required answer is 2, i.e. C and D.
Direction: In a city there are three bus routes 1, 2 and 3 between A and F. Route-1 has intermediate stops and at B and D. Route-2 has stops at C and D. The shortest route-3 with a length of 10 km, stops at C only, which is exactly at the middle of this route. The longest route has 3 km more length than the shortest one. The distances between C and D, B and D and F and D are 4, 3 and 2 kilometres respectively.
- What is the distance between A and B?
-
View Hint View Answer Discuss in Forum
As per the above result ,
Route -1 :- 5 + AB = 13 ⇒ AB = 13 - 5 = 8 kmCorrect Option: D
As per the above result ,
Route -1 :- 5 + AB = 13 ⇒ AB = 13 - 5 = 8 km
Hence , required distance between A and B is 8 km .
- What is the length of route - 2 ?
-
View Hint View Answer Discuss in Forum
From the above result length of route -2 = 11 km
Correct Option: A
From the above result length of route -2 = 11 km
Therefore , the length of route -2 is 11 km .
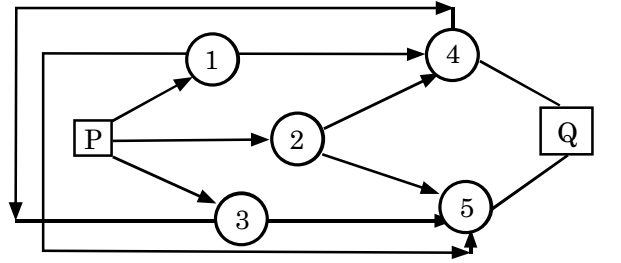
- What is the number of routes from P to Q?
-
View Hint View Answer Discuss in Forum
As per the given above figure , we can see that
The number of routes from P to Q = 2 + 4 = 6Correct Option: B
As per the given above figure , we can see that
The number of routes from P to Q = 2 + 4 = 6
Hence , the number of routes from P to Q is 6 .