Direction and Distance


  1. Sitara walked 45 metres in NorthWest from her uncle’s house. There she met her friend and they walked 45 metres in South-West direction. Then they walked 45 metres in South-East direction and turned to uncle’s house. Now in which direction they are going?









  1. View Hint View Answer Discuss in Forum

    Draw a figure as per given instruction in the question.


    Correct Option: C

    Draw a figure as per given instruction in the question. We can see that according to graph It is clear from the diagram that now they are going towards North–East.



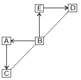
  1. Of the 5 towns A,B,C,D and E situated close to each other. A is to the west of B, C is to the south of A,E is to the north of B and D is to the east of E. Then C is in which direction with respect to D?









  1. View Hint View Answer Discuss in Forum

    Draw a figure as per given instruction in the question.


    Correct Option: A

    Draw a figure as per given instruction in the question. We can see that according to graph Town C is to the south-west of Town D.




  1. A boy starts walking towards West, he turns right and again he turns right and then turns left at last. Towards which direction is he walking now?









  1. View Hint View Answer Discuss in Forum

    Draw a figure as per given instruction in the question.

    Correct Option: B

    Draw a figure as per given instruction in the question. We can see that according to graph now he is walking towards North.



  1. ‘A’ walks southwards, then turns right, then left and then right. In which direction is he from the starting point?









  1. View Hint View Answer Discuss in Forum

    Draw a figure as per given instruction in the question.


    Correct Option: A

    Draw a figure as per given instruction in the question. We can see that according to graph It is clear from the diagram that he is in South-West direction. But there is no such option. After analyzing the question carefully we think that most suitable answer should be option (1)




  1. Radhika went 50 metres south from her house then turned left and went 20 metres then turning, to north she went 30 metres. In which direction is her home from this point?









  1. View Hint View Answer Discuss in Forum

    Draw a figure as per given instruction in the question.


    Correct Option: D

    Draw a figure as per given instruction in the question. We can see that according to graph