-
In the gear train shown gear 3 is carried on arm 5, Gear 3 meshes with gear 2 and gear 4. The number of teeth on gear 2, 3 and 4 are 60, 20, and 100, respectively. If gear 2 is fixed and gear 4 rotates with an angular velocity of 100 rpm in the counterclockwise direction, the angular speed of arm 5 (in rpm) is

-
- 166.7 counterclockwise
- 166.7 clockwise
- 62.5 counterclockwise
- 62.5 clockwise
Correct Option: C
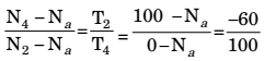
Given T2 = 60
N2 = 0
T3 = 20
T4 = 100
N2 = 100 rpm (ccw)
Relative velocity equation
1.6Na = 100
Na =62.5 rpm (ccw)