Academic Resource
Aptitude
Data Interpretation
Verbal Reasoning
Non Verbal Reasoning
Verbal Ability
Programming
General Knowledge
Puzzle
Engineering
Computer Engineering
Electronics and Communication
Electrical Engineering
Mechanical Engineering
Civil Engineering
Biotechnology
Architecture & Planning
Online Test
Aptitude Test
Data Interpretation Test
Verbal Reasoning Test
Non Verbal Reasoning Test
Verbal Ability Test
Exams
More
Full Forms
Home
»
Digital Electronics
»
Digital electronics miscellaneous
» Question
Digital electronics miscellaneous
Easy Questions
Moderate Questions
Difficult Questions
Digital Electronics
Digital electronics miscellaneous
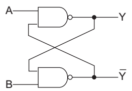
In given fig. if A = 1 and B = 0, Y will be—
0
1
0 or 1
None of these
Correct Option:
A
NA
Previous Question
Next Question
Your comments will be displayed only after manual approval.
Post your Comment