Home » Verbal Reasoning » Routes and Networks » Question
  1. What is the total number of ways to reach A to B in the network given?


    1. 12
    2. 16
    3. 20
    4. 22
Correct Option: B

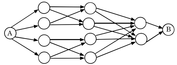
As per the given above figure , we can see that
There are four ways to go from A to the first level of nodes. Each of these 4 nodes in turn leads into two more ways to go to the second level nodes.
Each of the second level nodes leads into two more ways to go to the third level nodes.
And from here we have only one way each to go to B.
Hence by fundamental principal of counting, total number of ways = 4 x 2 x 2 x 1 = 16 ways.



Your comments will be displayed only after manual approval.